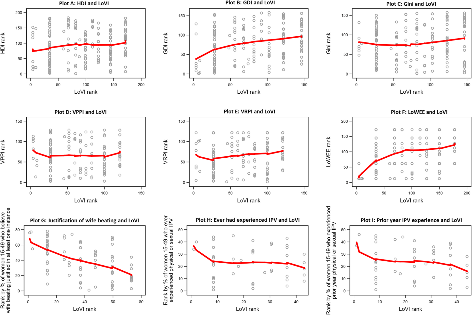
Fig. 2
From: Development and validation of the LoVI: the Laws on Violence against women and girls Index

Scatterplots and LOWESS curves comparing national rankings on the LoVI with national rankings on other indicators. Notes. HDI Human Development Index; GDI Gender-related Development Index; VPPI Violence Against Women and Girls Prevention Program Index; VRPI Violence against Women and Girls Response Program Index; LoWEE Laws on Women’s Economic Equality index